图片

365体育投注_bet36体育在线-官方唯一指定网站

当前位置:主页 > 毕业论文 > 公共管理 > 公共政策 > >

公共政策的集体选择机制分析

来源::未知 | 作者:365体育投注_bet36体育在线-官方唯一指定网站 | 本文已影响

[摘要]公共政策的集体选择机制是构成民主决策的基石,但要真正实现民主决策还需要设计合理的决策者协商制度,包括民主参与、协商制度、专家意见三种主要的形成机制。而且在集体选择中,公众参与比决策结果重要,协商沟通比表决过程重要。

  [关键词]公共政策;公共选择;集体偏好

  公共选择是民主共和的社会基础,这个源自古希腊城邦,已有数千年历史传统的信念,成为现代社会不可动摇的基石。然而,1785年Condorcet发现了著名的“投票悖论”问题。1951年Kenneth Joseph Arrow则在其《社会选择与个人价值》一文中证明了“不可能定理”,指出在三个或三个以上的备选对象中,社会成员可以自由地按任何方式对它们排序,因此,没有任何一种投票方法能解决“投票悖论”问题。这一结论引发了一系列的讨论,因为它直接动摇了人类数千年来公共选择的理论基础,更动摇了思想启蒙运动的根本信念。为此,Amartya Sen在1970年发表了《集体选择与社会福利》,从放宽效用的可度量性原则出发,证明了“投票悖论”的可解决性,并指出:“如果个人效用是可度量的,则 Arrow不可能定理不再成立;如果个人效用不可度量,则Arrow不可能定理什么也没有说”。这就是“投票悖论”的现实状态。对于这个问题,本文将进行限于公共选择方面的讨论,对“投票悖论”进行证明,同时还证明只要在合理的简单偏好连续性与可判定性条件下, “投票悖论”对公共选择的结果没有影响。
  
  一、“投票悖论”的存在
  
  “投票悖论”的描述:给定3个备选项A、B、C,给定一个决策集共有n个决策者,当决策集中各决策者对A、B、C的偏好分布均衡时,多数决策原则不能得出唯一偏好占优的集体决策结果。其中,偏好也称选择性偏好,反映了决策者对备选项的喜好程度,此程度决定了决策者对备选项的排序。
  上面的表述还可以用一个例子具体化:假设认为A最优的决策者占决策者总数的1/3,且A的拥护者又分为两派,一派占A的全部拥护者的2/3,他们认为B优于c,另一派占A的全部拥护者的1/3,他们认为C优于B;认为B最优的决策者占决策者总数的1/3,且B的拥护者又分为两派,一派占B的全部拥护者的2/3,他们认为C优于A,另一派占B的全部拥护者的1/3,他们认为A优于C;认为C最优的决策者占决策者总数的1/3,且C的拥护者又分为两派,一派占C的全部拥护者的2/3,他们认为A优于B,另一派占C的全部拥护者的1/3,他们认为B优于A。在这一实例中,每一个决策者都是理性的,具有完全的偏好。但是,决策集作为一个整体就不具有完全的偏好,而且在多数原则下,决策集的偏好与决策路径相关。事实上,先用A与B相比,总有A优于B,再用A与C比,则C 优于A,于是C胜出。可以看出,没有任何一个备选项可以连胜两场。在两两比较的情况下,它们构成了一个环,这种“环”就是“投票悖论”的基础。
  对“投票悖论”进行进一步分析,我们引入偏好均衡与偏好占优的概念。偏好均衡是指决策者对备选项的优劣没有看法,认为备选项完全一致,这一偏好状态对决策个人是严格禁止的。偏好占优是指决策者认为两个备选项有优劣之分,并能判定其优劣性。“投票悖论”表明,个人的偏好占优不等于集体偏好占优。这个结论是显然的,因为在上述的实例中存在着偏好的均匀分布,不存在一种集体偏好占优。所以严格从多数性原则来看,“投票悖论”始终存在着可能性。而且与Arrow的结论不同,在两个备选项存在的条件下,只要存在偶数决策者,则多数原则下的“投票悖论”仍旧存在。这就是一般决策机构之所以总是要求人数为奇数的理论基础。因此,在仅限于公共选择的偏好性讨论中,两个备选项与多个备选项是一样的,都可能发生决策者个人全部具有偏好占优而决策集不具有偏好占优的情况。即在简单多数的原则下,集体偏好均衡始终存在着可能性。
  
  二、选择偏好的可测度性影响
  
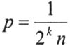
  在上面的分析中,事实上我们假定了选择偏好是无限可分的,因为我们要求决策者能对任意两个备选项给出占优性偏好,而这个要求正是之前全部学者们分析的基本假定。在这个假定下,我们将进一步分析投票制度中“投票悖论”的发生概率。分析以上的过程,可以看出那是一种(0,1)记分制度的方法,即实际上将决策者偏好设定为两个状态,偏好占优一方加1分,另一方加0分。由于上面提到的选择偏好的无限可分性假定,我们也可以将记分等级加深,比如按(0,1,2,3),甚至(0,∧,∞)记分。这样,每当扩大一倍的记分等级,整个投票系统的可行状态空间就扩大一倍,则对于两备选系统而言,其“投票悖论”出现的概率就缩小一倍,即有:
  
  其中:P是“投票悖论”发生的概率;K是记分等级扩大的倍数,在选择偏好无限可分假定下,它可以是正无穷大的。
  这种评分代表了决策者对备选项的偏好程度,在选择偏好无限可分的假定下,决策者对备选项的评分与他们对备选项的排序总是完全一致的,所以无需担心评分与排序的不一致问题。我们必须注意,偏好无限可分或连续的假定是不确定的,但它是我们要求决策者能够对任意两个备选项给出占优性偏好的必要条件,而对任意两个备选项给出占优性偏好又是全部投票问题分析的基础。换句话说,个人对任意两个备选项目给出偏好占优排序等价于个人偏好连续。所以,我们只能借用这个假定。
  在这种假定下,我们设计一种投票制度:由k=0开始,如果出现了集体偏好均衡就将k加上1,再进行一次评分并投票,直到出现一个集体偏好占优的格局。由“投票悖论”概率公式可知,在这种投票制度下,总是可以保证“投票悖论”不发生,因为在这种制度下,“投票悖论”的发生就等同于在完全自然的条件下抛硬币而连续出现无穷多次正面的情况,而这种情况肯定是不会发生的。这种制度保证了多数原则下的集体偏好占优性。但是这里的多数原则与简单多数原则已经不同了,这里的多数原则是偏好程度的加权占优。当然,从实际中看,偏好粒度越小则决策者的偏好选择越困难。就是说,一个决策者要判定1米与2米的高低是容易的,但是要判定1.023米与1.024米的高低可能就困难一些,至少在不借助任何工具的条件下笔者认为是如此。所以,我们总是不断加大k值,而且对于更大的k值下的评分总在前一个k值评分出现偏好均衡时进行。在多备选项的情况下,对于更大的k值下的评分总在前一个k值评分最高的一组备选项中进行比较。换句话说,我们设定了一种多目标系统,并且认为k值较小的目标具有较高的优先级。现在我们设计的制度,并没有对投票系统本身附加任何条件,也没有向投票的结果施加任何技术性的变换,而只是利用了原始投票制度的基本假定,“投票悖论”消失了。
  上面的分析针对的是两备选系统,如前分析,在引入偏好占优与偏好均衡后,两备选系统与多备选系统具有相同的性质。所以无论是多少个备选项的系统,只要备选项是确定而有限的,这种制度总能使“投票悖论”消失。

三、进一步的分析
  
  “投票悖论”总是具有存在的可能性,因为它反映了集体决策中全部决策者选择偏好分布出现了均衡状态这一客观现实。我们不应试图否认它的存在性,但也不必引发对民主制度的动摇,毕竟我们总可以找到一种制度,利用投票制度的内生结构消除“投票悖论”的影响。事实上,在偏好连续性的假设下,如果决策者个人能对自己的偏好做出判断,则利用上面的连续空间构造零概率事件之机理,可以引入谈判与补偿机制(也称协商制度),以及通过调整个人偏好来形成集体偏好以求得集体福利最大化的公共政策机制。
  在引入了协商机制后,这种协商使得协商者之间得以在统一的价格尺度下,比较并且交易选择偏好。在偏好连续性假设下,这种协商机制引致了一种结果:当协商者的选择偏好定价完全相同时,选择偏好不能交易,不可能现象仍将出现。所以,协商制度在理论上并不能消除不可能现象。但是,这种机制的引入却大大降低了不可能现象出现的可能性。在偏好连续性的假设下,由于对一个协商者而言,其出现与协商对象选择偏好相同的情况仅为一个点,而其偏好为一个区间。由实数据的连续性可知,任意给定的区间有无穷多个点,在均匀分布下,任意给定点出现的概率都为零。因此,在现实中出现不可交易的不可能现象的概率为零。
  这种逻辑讨论给我们的政策启示在于:公共政策的集体选择机制构成了民主决策的基石,但要真正实现民主决策还需要设计合理的决策者协商制度,包括民主参与、协商制度、专家意见三种主要形成机制。而且在集体选择中,公众参与比决策结果重要,协商沟通比表决过程重要。为此,我们提出如下公共政策的集体选择流程。
  
  在这个流程中,公共政策表决本身不会由公众自由地形成,因此政府就成为公共政策表决的组织者。所以,无论是专家还是政府,在公共政策的表决中,他们都不是表决者,而是局边人,他们各自存在自己的任务。对专家而言,他们是公众表决的主要决策支持者,其任务是尽可能的使公众了解自身面临的决策情况,尽可能做出符合自身偏好的决策。对于公共政策中的专家组成应当包括两类:一类是无关者,这一类专家可能会对公共政策做出比较中立的情况分析;另一类是偏好者,这一类专家可能会对自己偏好的备选工程给予更多的好评,因此这类专家的构成能够照顾到各备选工程的平衡分布则最好。
  政府作为局边人的任务则有三种角色:组织者、协调者、裁决者。作为组织者,政府的责任是保证公众的知情权,让专家比较全面的向公众介绍情况,同时维护公众意志的自由表达;作为协调者,当出现不可能状态时,政府的责任是推动公众的内部协议,有效打破不可能状态;作为裁决者,当公众内部协议无法打破不可能状态时,政府必须充当最终裁决人,做出最后的裁定。裁决人的角色将有可能引起公众对政府的不利情绪,但是政府作为一种公共组织,承担这种责任是义不容辞的。
  
  四、结论
  
  综上所述,不可能定理是存在的,但是这种存在性并不表明表决的不合理性,更不表明表决的不可能性,正如Amartyasen指出,非传递性并不能构成对表决本身的限制。重要的是,不可能定理提示我们,简单套用投票表决未必是一种有效率的方法,但作为一种对抗代理人风险的主要方法,公众参与是极其重要的。其中,公众参与的协商、沟通、价值评价等可能比简单的投票表决更加重要。在公共政策中,民主参与、共同协商、专家指导应当成为三种最重要的形成机制。或许,这才是不可能定理的政策启示。


365体育投注_bet36体育在线-官方唯一指定网站

热榜阅读TOP

本周TOP10

构建和谐社会背景下公共就业服务制

构建和谐社会背景下公共就业服务制

一、我国当前公共就业服务制度的现状 (一)就业服务的职能初级且不完善,难以满足变化的劳动力市场的要求 ...